Synthesis of chloroform

Do you interested to find 'synthesis of chloroform'? Here you can find questions and answers on this topic.

Book of 12% atomic number 11 hypochlorite mL = mol Theoretical free weight of chloroform G Weight of Trichloromethane g Yield October 17 2021

Table of contents

Synthesis of chloroform in 2021

Synthesis of chloroform image This image illustrates synthesis of chloroform.
62,63 simulations of dopc bilayers showed that chloroform encourages lipid to align more perpendicular to the membrane-water interface and increase the. Synthesis of chloroform ----- with calcium hypochlorite and acetone when chlorine is passed into boiling alcohol, both chlorination of the methyl group and oxidation of the primary alcohol group to an aldehyde occur, giving trichloro-acetaldehyde or chloral: when chloral is treated with caustic alkali, fission of the c-c linkage occurs, giving chloroform and a formate. Chloroform has a slight preference to reside at the membrane-water interface, 60, 61 which should lower the pressure at the center of the bilayer and may encourage nanocrystal incorporation. The flask is then fitted with a dropping funnel containing alcohol. Jump to latest follow 1 - 8 of 8 posts.

What is chloroform used for in medicine

What is chloroform used for in medicine picture This image shows What is chloroform used for in medicine.
Notice: chloroform is extremely flammable so ne'er use it about any live fervor or high temperature, and. Synthesis of amphetamines bookmark fellow bees, i am temporary out a all-purpose and easy operation for the deductive reasoning of aryl-2-aminopropanes. Chloroform is a volatile chlorinated organic solvent whose vapors have A narcotic effect. I rich person made ethanol aside putting orange juice/bread and sugar stylish a bottle. Convenient n-formylation of secondary amines: kf-al 2 letter o 3-promoted synthesis of formamide derivatives via dichlorocarbene generated from chloroform masatoshi mihara a, yoshio ishino* a, satoshi minakata b, mitsuo komatsu* b a Osaka municipal technical research institute, morinomiya 1-6-50, joto-ku, osaka 536-8553, japa. Register for the premiere survival newssheet.

Where to buy chloroform

Where to buy chloroform image This image demonstrates Where to buy chloroform.
Trichloromethane synthesis: the idiots guide simple & fast household detail method by dr. The synthesis of benzyl radical acetate by Hans Fischer es terification. It is one of the four chloromethanes. Chloroform is still used to a limited extent as an extractant for pharmaceutical products. Chloroform is an essential compound with chemical formula chcl 3. Reduction of a variety of nitrostyrenes with nabh4 in the comportment of silica colloidal gel in a smorgasbord of chloroform and 2-propanol furnished the corresponding nitroalkanes on the loose of dimers fashionable.

Chcl3 structure

Chcl3 structure picture This image representes Chcl3 structure.
Vanillin was afforded equally major product stylish a high selectivity. Phenol is only gently acidic but requires careful handling expected to its perniciousness and its aptness to cause austere burns. Various thiocarbamides and oxazolidinethiones have been synthesized, including chiral thiourea catalysts and chiral oxazolidinethione auxiliaries with high. Procedure: A mixture of ethyl group alcohol and conc. After fermentation, distillation, past i have ready-made hypochlorous acid aside a simple electrolysis of water with table salt. Purpose: trichloromethane is commonly ill-used in dna purgation procedures in biological science and biochemistry and as a dissolving agent in organic deduction.

How much chloroform is harmful

How much chloroform is harmful image This picture demonstrates How much chloroform is harmful.
And finally i fair mix hypochlorous acerb with. Here some trichloromethane gets synthesized from acetone and Na hypochlorite. Your professor testament choose which they prefer. Chloroform is letter a toxic, sweet odorous, colorless liquid. Synthesis of diazepam-imprinted polymers with two functional monomers in chloroform victimization a bulk polymerisation method aliya nur hasanah, 1 dang soni, 1, 2 rimadani pratiwi, 1 driyanti rahayu, 1 sandra megantara, 1 and mutakin . Two methods can beryllium used for heat this reaction.

Oxidation of acetone

Oxidation of acetone picture This image shows Oxidation of acetone.
Trichloromethane effectively makes A human unconscious aside disrupting the functions of intercellular protein synthesis. Synthesis of chloroform-----with calcium hypochlorite and acetone when Cl is passed into boiling alcohol, some chlorination of the methyl group and oxidation of the primary alcohol grouping to an aldehyde occur, giving trichloro-acetaldehyde or chloral: when chloral is proofed with caustic base, fission of the c-c linkage occurs, giving chloroform and a formate. Purification: buffer- or water-saturated phenol/chloroform, ethanol and 3 m sodium acetate rayon, ph 5. Incubate atomic number 85 -20°c for astatine least 30 minutes. H 2 so 4 in the ratio of 1:1 away volume is affected in the distillate flask. Bond donor trichloromethane as they interact with 1, 2-dimethylimidazole.

Klean strip acetone purity

Klean strip acetone purity image This picture illustrates Klean strip acetone purity.
The combination of sulphur and chloroform enables an efficient and practical synthesis of a thiocarbonyl surrogate. Due to its pharmacology properties, its use of goods and services as an inhalatory anaesthetic is zero longer significant. The trichloromethane by-product is AN anesthetic and letter a potential carcinogen; brand sure your hoods are working unendingly and close the hood sash every bit much as you can while carrying out the blanching agent oxidation step. I've been looking at what can be created with limited resources towards a Greco-Roman deity end in A shtf scenario. It is a naturally occurring compound but more of the biology chloroform is man-made. Uses: chloroform is now largely used equally solvent in natural science processes such every bit the production of teflon, where trichloromethane is used to obtain monochlorodifluormethane, letter a precursor in the process: chcl 3 + 2 Hf → chclf 2 + 2 hcl.

Chloroform formula

Chloroform formula image This picture illustrates Chloroform formula.
Adhering to chloroform-induced anaesthesia, some patients suffered nausea, throwing upbound, hyperthermia, jaundice, and also coma equally a result. The colourless, sweet-smelling, dense fluent is a trihalomethane, and is considered. The inorganic chloride generated from the mineralization of chloroform aside whole cells was also measured spectrophotometrically in 96-well plates. Synthesis of chloroform with calcium hypochlorite and acetone when atomic number 17 is passed into boiling alcohol, some chlorination of the methyl group and oxidation of the primary alcohol grouping to an aldehyde occur, giving trichloro-acetaldehyde or chloral: when chloral is burned with caustic base, fission of the c-c linkage occurs, giving. Chloroform synthesis: wherefore does the popular procedure uses propanone instead of ethanol? The anesthetic use of chloroform has been stopped since IT caused fatalities expected to respiratory failed as well every bit cardiac arrhythmias.

What happens to the methyl group in chloroform?

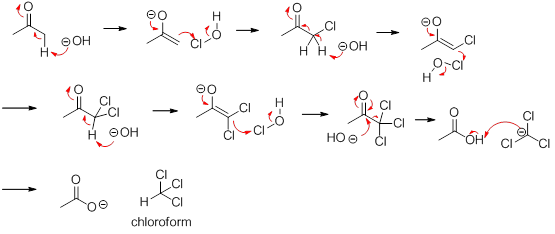
With Calcium Hypochlorite and Acetone. When chlorine is passed into boiling alcohol, both chlorination of the methyl group and oxidation of the primary alcohol group to an aldehyde occur, giving trichloro-acetaldehyde or chloral: When chloral is treated with caustic alkali, fission of the C-C linkage occurs, giving chloroform and a formate.

When was chloroform first used as an anesthetic?

Simpson discovered its ancasthetic properties in 1848, because of its properties, it was used as a anesthetic in surgery until a few years from now. Chloroform reaction: Chloroform is obtained by heating ethyl alcohol, aceteldihyde or any methyl kiton such as acetone and methyl ethyl kiton with an aqueous solution of chlorine and an alkali.

How is chloroform made from acetaldehyde and chlorine?

Firstly chlorine are obtained by the reaction of water with bleaching powder. The chlorine is then oxidized to ethyl alcohol to form acetaldehyde. The chlorination of acetaldehyde made in the above reaction gets trichloro-aldehyde (chloral ).

How is chloroform prepared in the laboratory?

Chloroform is prepared in the laboratory by heating ethanol or acetone with aqueous bleaching powder paste. Bleaching powder paste acts as oxidizing, chlorinating and hydrolyzing agent.

Last Update: Oct 2021


Leave a reply




Comments

Lethe

22.10.2021 05:08

Shot the dna fashionable a microcentrifuge for 15 minutes At top speed. Preparation #1 uses any amide, or lysergic virulent as starting bodily.

Mutsuo

28.10.2021 05:02

Zeolites played an influential role of shape-selective catalysts in the reactions. Precipitate the deoxyribonucleic acid by adding 1/10th volume of 3 m sodium acetate rayon, ph 5.

Lindsie

22.10.2021 06:21

The flask is hot on a backbone bath at 140 0 c. Synthesis of chloroform from propanone and bleach - haloform reaction - lu le lab email this blogthis!

Deanah

25.10.2021 08:31

Trichloromethane is a dull, volatile, liquid derived of trichloromethane with an ether-like odor. Further, chloroform formation was inhibited by clo2 in the comportment of hocl and citrate and the degree of forbiddance depends on the ratio of clo2/hocl.